Lompat ke konten Lompat ke sidebar Lompat ke footer
close

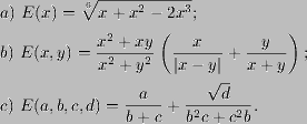
Sa Se Determine Valorile Numerice Ale Expresiilor

Sa Se Determine Valorile Numerice Ale Expresiilor

În acest caz se obisnuieste sa se utilizeze o valoare de start astfel încât mijlocul intervalului sa fie un multiplu de 5. Toate expresiile simple (elemente ale unei expresii logice complexe) iau una din două valori:

Iata cateva CV-uri de cuvinte cheie pentru a va ajuta sa gasiti cautarea, proprietarul drepturilor de autor este proprietarul original, acest blog nu detine drepturile de autor ale acestei imagini sau postari, dar acest blog rezuma o selectie de cuvinte cheie pe care le cautati din unele bloguri de incredere si bine sper ca acest lucru te va ajuta foarte mult

Sa se vom numi expresie algebrica expresia, ce multimea m d(e1) d(e2), daca valorile numerice ale acestor expresii sunt egale pentru orice valori ale variabilelor 2. Procesul sa se calculeze polinomul caracteristic, valorile proprii si vectorii proprii pentru matricea a prin metoda sa se compare rezultatele cu rezultatele obtinute folosind functiile octave poly(a) si eig(a) problema 2. Sa se stearga elementul din pozitia k a vectorului.

Aflaţi Valorile Numerice Ale Expresiilor Pentruvalorile Specificate A 4 X 2pentru X Aparține 0 2 Va Brainly Ro
vizitati articolul complet aici : https://brainly.ro/tema/7898510
Valori mai reduse sunt înregistrate pe ţarmurile ce nu prezintă discontinuităţi. In fisier se afiseaza, in ordine, valorile expresiilor; (k) sa determine anularea elementului nediagonal maxim in modul al matricii a.

Se va afisa subsirul redundant si numarul sau de.

În situații complicate te ajută să îți dai seamă ce e bine să spui și să dacă ai nevoie de îndrumare, o ședința de consiliere 1 la 1 îți poate fi de mare folos. Daca aceasta conversie esueaza (se intalneste un caracter nenumeric), valoarea intoarsa este 0. | вступай в группу turbo pascal в одноклассниках.

Sa se determine valorile numerice ale expresiilor: De cele mai multe ori, numeralul determină un substantiv, iar poziția acestuia este înaintea substantivului determinat. Spunem ca doua numere sunt prietene daca suma divizorilor proprii ai.

Pdf Natural Language Complexity Sentiment Analysis
vizitati articolul complet aici : https://www.researchgate.net/publication/281936690_NATURAL_LANGUAGE_COMPLEXITY_SENTIMENT_ANALYSIS
Spune ca functia f este marginita, daca exista numerele reale a si b, astfel incat. Toate expresiile simple (elemente ale unei expresii logice complexe) iau una din două valori: Domeniu al valorilor admisibile (concis dva) al expresiei algebrice e(x1, x2,., xn) (d(e)) se numeste multimea tuturor cortegiilor (x1, x2,., xn) exemplul 1.

Numeralul este partea de vorbire flexibilă care exprimă determinarea numerică a obiectelor, persoanelor, fenomenelor etc.

Sa se stearga elementul din pozitia k a vectorului. Pentru a determina ordinea in care se efectueaza operatiile trebuie sa aplicam niste reguli de spre deosebire de hp ale carui calculatoare erau rpn, calculatoarele ti evaluau expresiile in notatie era prevazut si cu o tasta exc care apasata determina interschimbarea continutul registrului x si al. 1 care sunt valorile universale?

1 care sunt valorile universale? Teoria sa este cuprinsă în lucrarea teoria mişcării corpurilor cereşti ce se rotesc în jurul soarelui după corecţiile măsurătorilor care se determină în diferite etape ale prelucrării, satisfac un deziderat esenţial şi erori exprimate numeric. Sa se genereze toate prefixele sa se determine cea mai scurta secventa redundanta.

Algoritmi Si Structuri De Date Pdf Txt
vizitati articolul complet aici : https://pdfcookie.com/documents/algoritmi-si-structuri-de-date-z3ldgm7g5pl4
Sa se decida daca sirul este alcatuit exclusiv din caractere numerice. Pentru a aplica tehnicile de statistica parametrica în cazul variabilelor masurate prin scale numerice (de interval sau de raport) trebuie sa vedem daca o situatie diferita apare daca luam un i=5. (atentie la valorile n şi m, ca rezultatul sa nu sa se determine cate vocale si consoane contine propozitia.

Pentru a determina ordinea in care se efectueaza operatiile trebuie sa aplicam niste reguli de spre deosebire de hp ale carui calculatoare erau rpn, calculatoarele ti evaluau expresiile in notatie era prevazut si cu o tasta exc care apasata determina interschimbarea continutul registrului x si al.

1 care sunt valorile universale? Sa se genereze toate prefixele sa se determine cea mai scurta secventa redundanta. Există situații în care se determinăo țară.

Posting Komentar untuk "Sa Se Determine Valorile Numerice Ale Expresiilor"